Amino Acids, Nucleosides and Nucleotides

Amino Acids

We offer Fmoc-protected unnatural amino acids for the synthesis of peptides for biological research and pharmaceutical development. By introducing conformational constraints, the peptides may have one or several of the following features: 1. enhancement of peptide backbone helicity for better target binding; 2. tunable hydrophobicity for desired cellular permeability and cytotoxicity; and 3. enhancement of peptide stability against proteolytic breakdown.

Nucleosides and Nucleoside Phosphoramidites

We offer nucleosides with modifications in both the nucleic acid base and the sugar component of the molecules. Nucleoside phosphoramidites are extremely useful chemical building blocks for the chemical synthesis of RNA-targeting drugs such as antisense oligonucleotides, aptamers, and siRNAs which have exhibited promises for treating diseases including muscular dystrophy, neuropathies, and macular degeneration.

Nucleotides

dNTP, NTP, and modified nucleotides have exhibited a wide range of applications in PCR, RT-PCR, cRNA synthesis, RCA, MDA, DNA labeling, and sequencing. dNTPs are chemical building blocks in the commercial manufacture of mRNA vaccines using in vitro transcription method.

Inquire about our bulk quantities for the manufacture of oligonucleotide drug ingredients and large-scale production of mRNAs.

  • Amino Acids for Stapled Peptides
  • 2-Methylated Amino Acids
  • Peptide Labeling
  • Other Unnatural Amino Acids
  • Nucleosides
  • HNA Precursors
  • Morpholino Nucleosides
  • Nucleoside Phosphoramidites and Nucleotides
  • Nucleoside Phosphoramidites and Nucleotides

    Structure Details
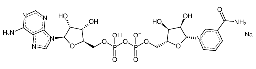
    Product Name: Adenosine 5'-(trihydrogen diphosphate), P'?5'-ester with 3-(aminocarbonyl)-1-?-D-ribofuranosylpyridinium, inner salt, sodium salt (1:1)
    Order number: 211446
    CAS: 20111-18-6
    Purity: 95%
    Appearance: SOLID
    MF: C21H27N7NaO14P2
    MW: 686.4
    MP: n.a. oC

    Description:
    This is a useful material for nucleotide chemistry and biology.
    Product Name: Adenosine 5'-(tetrahydrogen triphosphate), 2'-deoxy-
    Order number: 211447
    CAS: 1927-31-7
    Purity: 97%
    Appearance: SOLID
    MF: C10H16N5O12P3
    MW: 491.2
    MP: n.a. oC

    Description:
    This is a useful building block for biosynthesis of nucleic acids.
    Product Name: 5'-Inosinic acid, sodium salt, hydrate (1:2:8)
    Order number: 211451
    CAS: 20813-76-7
    Purity: 98%
    Appearance: SOLID
    MF: C10H27N4Na2O16P
    MW: 536.3
    MP: n.a. oC

    Description:
    This is a useful material for nucleotide chemistry and biology.
    Product Name: 5'-Cytidylic acid, 2'-deoxy-5-methyl-
    Order number: 211464
    CAS: 2498-41-1
    Purity: 95%
    Appearance: n.a.
    MF: C10H16N3O7P
    MW: 321.2
    MP: n.a. oC

    Description:
    This is a useful material for nucleotide chemistry and biology.
    Product Name: Uridine 5'-(trihydrogen diphosphate), sodium salt (1:2)
    Order number: 211476
    CAS: 27821-45-0
    Purity: 96%
    Appearance: WHITE POWDER
    MF: C9H12N2Na2O13P2
    MW: 464.1
    MP: n.a. oC

    Description:
    This is a useful material for nucleotide chemistry and biology.
    Product Name: URIDINE-13C9, 15N2-5 TRIPHOSPHATE SODI U
    Order number: 211478
    CAS: 285978-18-9
    Purity: ?98%
    Appearance: SOLID
    MF: C9H13N2Na2O15P3
    MW: 528.1
    MP: n.a. oC

    Description:
    This is a useful building block for biosynthesis of nucleic acids.