Amino Acids, Nucleosides and Nucleotides

Amino Acids

We offer Fmoc-protected unnatural amino acids for the synthesis of peptides for biological research and pharmaceutical development. By introducing conformational constraints, the peptides may have one or several of the following features: 1. enhancement of peptide backbone helicity for better target binding; 2. tunable hydrophobicity for desired cellular permeability and cytotoxicity; and 3. enhancement of peptide stability against proteolytic breakdown.

Nucleosides and Nucleoside Phosphoramidites

We offer nucleosides with modifications in both the nucleic acid base and the sugar component of the molecules. Nucleoside phosphoramidites are extremely useful chemical building blocks for the chemical synthesis of RNA-targeting drugs such as antisense oligonucleotides, aptamers, and siRNAs which have exhibited promises for treating diseases including muscular dystrophy, neuropathies, and macular degeneration.

Nucleotides

dNTP, NTP, and modified nucleotides have exhibited a wide range of applications in PCR, RT-PCR, cRNA synthesis, RCA, MDA, DNA labeling, and sequencing. dNTPs are chemical building blocks in the commercial manufacture of mRNA vaccines using in vitro transcription method.

Inquire about our bulk quantities for the manufacture of oligonucleotide drug ingredients and large-scale production of mRNAs.

  • Amino Acids for Stapled Peptides
  • 2-Methylated Amino Acids
  • Peptide Labeling
  • Other Unnatural Amino Acids
  • Nucleosides
  • HNA Precursors
  • Morpholino Nucleosides
  • Nucleoside Phosphoramidites and Nucleotides
  • Nucleoside Phosphoramidites and Nucleotides

    Structure Details
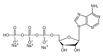
    Product Name: ATP
    Order number: 204797
    CAS: 987-65-5
    Purity: 98%
    Appearance: solid
    MF: C10H13N5Na3O13P3
    MW: 573.13
    MP: n.a. oC

    Description:
    dNTP and NTP are widely used in PCR, cRNA synthesis, RCA, MDA, DNA labeling and sequencing, in vitro transcription, etc.
    Product Name: GTP
    Order number: 204798
    CAS: 36051-31-7
    Purity: 98%
    Appearance: solid
    MF: C10H13N5Na3O14P3
    MW: 589.13
    MP: n.a. oC

    Description:
    dNTP and NTP are widely used in PCR, cRNA synthesis, RCA, MDA, DNA labeling and sequencing, in vitro transcription, etc.
    Product Name: CTP
    Order number: 204799
    CAS: 123334-07-6
    Purity: 98%
    Appearance: solid
    MF: C10H14N2Na3O15P3
    MW: 564.11
    MP: n.a. oC

    Description:
    dNTP and NTP are widely used in PCR, cRNA synthesis, RCA, MDA, DNA labeling and sequencing, in vitro transcription, etc.
    Product Name: UTP
    Order number: 204800
    CAS: 19817-92-6
    Purity: 98%
    Appearance: solid
    MF: C9H12N2Na3O15P3
    MW: 550.08
    MP: n.a. oC

    Description:
    dNTP and NTP are widely used in PCR, cRNA synthesis, RCA, MDA, DNA labeling and sequencing, in vitro transcription, etc.
    Product Name: NTP mix
    Order number: 204801
    CAS: N/A
    Purity: 98%
    Appearance: solid
    MF:
    MW:
    MP: n.a. oC

    Description:
    dNTP and NTP are widely used in PCR, cRNA synthesis, RCA, MDA, DNA labeling and sequencing, in vitro transcription, etc.
    Product Name: N1-Me-pseudo UTP
    Order number: 204802
    CAS: N/A
    Purity: 98%
    Appearance: solid
    MF: C10H14N2Na3O15P3
    MW: 564.11
    MP: n.a. oC

    Description:
    dNTP and NTP are widely used in PCR, cRNA synthesis, RCA, MDA, DNA labeling and sequencing, in vitro transcription, etc.